對天文感興(xing) 趣的小夥(huo) 伴一定知道,在太陽係裏,天王星是一個(ge) 特立獨行的存在,它是唯一一顆“躺著”繞太陽公轉的行星,自轉軸竟偏了將近98度!(地球自轉軸大約偏了23度)
你以為(wei) 這就完了,天王星身上的怪事還多著呢,溫度異常的低、公轉軌道總發生變化、磁場十分淩亂(luan) ……就連它的名字Uranus,也和太陽係裏其他行星的命名規則不同。
這樣一個(ge) 奇怪的行星到底是怎麽(me) 被人發現的呢?來了解下吧~
天王星
來源|北京科學中心小球大世界主題展教區
1
恒星?彗星?行星?據記載,人類第一次觀測到天王星是在1690年,觀測者正是第一任格林尼治天文台台長約翰·弗萊姆斯蒂德。
來源|維基百科
可惜的是,弗萊姆斯蒂德誤認為(wei) 他觀測到的天體(ti) 是一顆恒星,並將其命名為(wei) 金牛座34。
時間來到了1781年,威廉·赫歇爾在觀測恒星時發現似乎有一顆星星的運動不太尋常,它並沒有像其他恒星一樣近乎同步地繞著北天極轉圈,而是與(yu) 其他已知的恒星存在相對運動。(恒星為(wei) 啥會(hui) 旋轉,赫歇爾是誰?點擊這裏回顧下我們(men) 之前的文章吧)
赫歇爾:我的發現可多著呢
來源|維基百科
說來也巧,赫歇爾發現的這顆不太尋常的星星正是所謂的“金牛座34”。於(yu) 是,赫歇爾大膽推測,這個(ge) 天體(ti) 並不是恒星,而是一顆彗星。
當時的人們(men) 已經知道,在萬(wan) 有引力作用下天體(ti) 的運動軌跡隻會(hui) 是橢圓、雙曲線、拋物線三種圓錐曲線,而彗星的軌道一般是非常扁的橢圓或雙曲線、拋物線。於(yu) 是,赫歇爾開始著手計算這顆“彗星”的軌道。
不過,人類再一次被打了臉。赫歇爾發現這顆“彗星”的軌道是一個(ge) 十分接近正圓的橢圓,軌道距離太陽大概19個(ge) 天文單位(1個(ge) 天文單位是1倍地球到太陽的距離)。
根據當時的觀測,太陽係裏通常隻有像水星、金星、地球、火星、木星、土星這樣的行星才會(hui) 以接近正圓的軌道運動。
難道赫歇爾發現的不是彗星,而是一顆新的行星?如果屬實,這可是一個(ge) 足以轟動當時天文界的大新聞!太陽係的“疆域”也將從(cong) 當時人們(men) 認為(wei) 的10個(ge) 天文單位(大約是土星軌道的位置)拓展到19個(ge) 天文單位,幾乎擴大了1倍!
土星:曾經人們(men) 認為(wei) 我是太陽係的邊界
來源|維基百科
那麽(me) ,怎麽(me) 證明一個(ge) 天體(ti) 是行星呢?
現代的觀點認為(wei) ,太陽係裏如果一個(ge) 天體(ti) 能被稱為(wei) 行星,它要滿足這三個(ge) 條件:軌道環繞著太陽;有足夠質量能維持流體(ti) 靜力平衡(接近球體(ti) 的形狀);能清除“相似軌道上”其它的天體(ti) 。
不過,18世紀的人們(men) 並不這麽(me) 認為(wei) ,而是更傾(qing) 向於(yu) 用提丟(diu) 斯-波得定則來驗證。
左:戴維·提丟(diu) 斯 右:約翰·波得
來源|維基百科
1766年,通過總結前人研究,戴維·提丟(diu) 斯指出太陽係中各行星到太陽的距離是有規律的,他還用數字把這個(ge) 規律描述了出來。之後,約翰·波得歸納並發表了這個(ge) 規律,這就是前麵提到的提丟(diu) 斯-波得定則(約翰·波得就是後來的柏林天文台台長)。
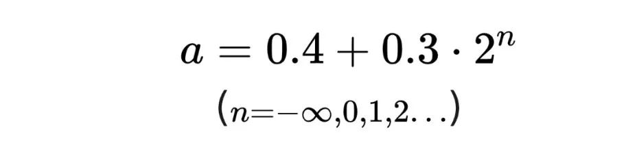
現在人們(men) 常用下麵這個(ge) 經驗公式來表示提丟(diu) 斯-波得定則:
這個(ge) 公式能近似預測太陽係中各個(ge) 行星軌道距離太陽的遠近。其中,a表示行星軌道到太陽的距離,單位是天文單位,把n代入不同數,就能得到太陽係中各個(ge) 行星到太陽的距離了。
用這個(ge) 公式計算出的水星、金星、地球、火星、木星、土星軌道距太陽的距離與(yu) 當時實際觀測的結果十分接近。(當時人們(men) 還沒發現小行星帶、天王星、海王星、柯伊伯帶)
來源|維基百科
稱它為(wei) 經驗公式,是因為(wei) 這個(ge) 公式並不是根據任何物理模型得出的,本身沒什麽(me) 物理意義(yi) ,僅(jin) 僅(jin) 由觀測數據歸納而來,之所以它能預測行星軌道位置,說白了就是因為(wei) “趕巧了”。
那麽(me) ,赫歇爾剛發現的看起很像行星的天體(ti) 滿不滿足這個(ge) 規律呢?
於(yu) 是,人們(men) 把n=6代入公式,發現計算出的軌道距離太陽19.6個(ge) 天文單位,與(yu) 赫歇爾的觀測結果十分的接近,後來陸續的觀測與(yu) 計算都表明,赫歇爾發現的正是土星之後的第七顆太陽係行星。
來源|維基百科
2
不太一樣的命名既然發現了新的行星,如何給這個(ge) 行星命名就成了擺在人們(men) 眼前的問題。它的發現者赫歇爾提議將這顆行星命名為(wei) “喬(qiao) 治之星”,以紀念當時的英國國王喬(qiao) 治三世。
這個(ge) 提議顯然遭到了其他國家天文學家的反對,他們(men) 表示:科學發現是全人類的財富,憑什麽(me) 用英國國王來命名?
德國天文學家約翰·波得(沒錯,就是歸納提丟(diu) 斯-波得定則的那個(ge) 人)想到既然木星以古羅馬神話中的眾(zhong) 神之父Jupiter命名,土星以Jupiter的父親(qin) Saturn命名,那新發現的這顆行星不妨就以Saturn的父親(qin) Caelus命名。
古羅馬神話人物,正好是爺孫三代
來源|YouTube
然而,波得最終並沒有像前5個(ge) 行星那樣按照古羅馬神話人物的名字來給這顆行星命名,而是選用了Caelus在古希臘神話中對應的形象Ouranos來命名這顆行星。
Ouranos最終又被拉丁化為(wei) Uranus。於(yu) 是Uranus最終成為(wei) 了這顆新行星的名稱,並被各國天文學家認可接受,沿用至今。
Uranus是古希臘神話中的天空之神,因此在中文裏被翻譯為(wei) 天王星。天王星的名字便是這麽(me) 來的。
3
不太一樣的軌道天王星被發現後,天文學家們(men) 開始對它進行係統的觀測。人們(men) 發現天王星的周期84年,也就是天王星繞太陽一周需要84年。
1783年,拉普拉斯計算出了天王星精確軌道,並給出了天王星軌道基本的6個(ge) 參數:軌道傾(qing) 角、升交點黃經、離心率,近日點幅角,橢圓半長軸、平近點角。
來源|NASA
不過,天文學家在後續對天王星的觀測中發現了問題,天王星的軌道似乎不那麽(me) 穩定,形狀總會(hui) 發生變化,這個(ge) 現象被稱為(wei) 軌道的攝動。
這對於(yu) 當時的天文學家來說可是個(ge) 新鮮事,人們(men) 漸漸意識到這可能是受到天王星附近某個(ge) 較大天體(ti) 引力的影響導致的。
半個(ge) 多世紀後,約翰·柯西·亞(ya) 當斯和奧本·勒維耶幾乎同時獨立地用紙和筆純手工計算預言了這個(ge) 天體(ti) 的存在,並用理論計算出了它的軌道。
左:約翰·柯西·亞(ya) 當斯 右:奧本·勒維耶來源|維基百科後來,德國柏林天文台的約翰·格弗裏恩·伽勒根據勒維耶的理論預測,真的發現了一顆行星,這顆行星後來被命名為(wei) 海王星。
約翰·格弗裏恩·伽勒
來源|維基百科
海王星也是人類曆史上第一顆先被理論預言,然後才被觀測到的天體(ti) ,被喻為(wei) “從(cong) 筆尖算出來的行星”。
海王星
來源|北京科學中心小球大世界主題展教區
正是受到了海王星引力的影響,天王星的軌道才會(hui) 不斷地發生變化,就此人們(men) 解開了天王星軌道攝動之謎。
4
躺著打滾的行星除了軌道攝動,天王星最奇特的地方便是它極度偏斜的自轉軸了。
來源|NASA
我們(men) 的地球自轉軸偏角穩定在23度上下,這使得地球上有明顯的四季變化。而天王星自轉軸的偏角高達98度!它繞太陽公轉時如同躺著打滾一般,大概是這個(ge) 樣子:
天王星與(yu) 地球的公轉與(yu) 自轉
銀白色線條表示自轉軸
來源|NASA
至於(yu) 天王星為(wei) 啥躺著轉,目前學界還沒有定論。科學家猜想,很久以前天王星和太陽係其他行星差不多,自轉軸的偏角並不大,但後來有一顆天體(ti) 撞上了天王星,把它撞歪了。
來源|NASA
還有學者通過計算機模擬認為(wei) ,天王星自轉軸偏角這麽(me) 大,可能並不是由於(yu) 一次劇烈的碰撞導致的,而是經曆了許多次小型的碰撞。
甚至有觀點認為(wei) 這可能是天王星與(yu) 其周圍塵埃盤之間的軌道共振導致的。
在近期一項發表在《自然 天文學》的研究中,日本的研究團隊經過計算模擬指出,可能有一顆1到3倍地球質量的冰質衛星撞上了天王星,產(chan) 生了大量的碎片。
這些碎片中包含了大量的易揮發物質(水和氨),這些物質碰撞後轉變為(wei) 氣態再次被天王星的引力捕獲,另一些碎片則形成了天王星的環,圍繞天王星公轉。
以上複雜的過程和長時間的相互作用最終使天王星自轉軸偏角穩定在98度,並形成了穩定的環。
天王星:雖然沒有土星明顯,但我也是有行星環的!
來源|維基百科
除了躺著自轉外,天王星的秘密還很多,比如科學家們(men) 發現,離太陽更近的天王星反而溫度比海王星還低;與(yu) 其他氣態行星相比,天王星內(nei) 部散發的熱量異常的少;另外天王星的磁場也與(yu) 眾(zhong) 不同……
八大行星自轉速度對比
不代表實際自轉方向與(yu) 速度,僅(jin) 體(ti) 現八大行星自轉相對快慢
來源|北京科學中心小球大世界主題展教區
看到這裏你是否也對天王星這顆不太尋常的行星充滿興(xing) 趣呢?小編今天就暫時講到這裏,剩下的交給大家去探索吧!
審核專(zhuan) 家:魯暘筱懿 行星物理學博士 國家遙感中心副研究員
來源:數字北京科學中心
關(guan) 注【深圳科普】微信公眾(zhong) 號,在對話框:
回複【最新活動】,了解近期科普活動
回複【科普行】,了解最新深圳科普行活動
回複【研學營】,了解最新科普研學營
回複【科普課堂】,了解最新科普課堂
回複【科普書(shu) 籍】,了解最新科普書(shu) 籍
回複【團體(ti) 定製】,了解最新團體(ti) 定製活動
回複【科普基地】,了解深圳科普基地詳情
回複【觀鳥星空体育官网入口网站】,學習(xi) 觀鳥相關(guan) 科普星空体育官网入口网站
回複【人工智能】,了解更多人工智能活動詳情
![]()

