首先,告訴你一個(ge) 可以用來炫耀的星空体育官网入口网站點:羊駝是駱駝科的一員,並不是羊!
大家肯定會(hui) 有疑問:不對啊,駱駝的背上不是應該有山峰的嗎?為(wei) 什麽(me) 羊駝長得一點都不像駱駝?
這還得從(cong) 駱駝的祖先說起!
走著走著就走散了
駱駝科的祖先原本是大約5千萬(wan) 年前在北美洲起源的。第四紀冰期的時候,由於(yu) 海平麵下降,有一支就跨過了白令海峽,從(cong) 北美走到了亞(ya) 洲,進化成了我們(men) 常見的雙峰駝,以及非洲的單峰駝。
另一支,則從(cong) 北美南下,到達了南美洲安第斯山地區,也就是現在的南美洲駝類的祖先——無峰駝。
駱駝科擴散之路(Burger et al., 2019)
南美洲的無峰駝其實隻有四種:原駝(Guanaco)、駱馬(Vicuna)、美洲駝(Llama)以及我們(men) 熟悉的羊駝(Alpaca)。這四種駝裏,原駝和駱馬是野生物種,美洲駝和羊駝則是馴化物種(請大家牢記這四個(ge) 名字,因為(wei) 後邊會(hui) 反複出現,非常容易記混)。
(圖片來自網絡)
但這個(ge) 時候,其實還沒有羊駝這個(ge) 物種。
因為(wei) 羊駝是馴化出來的物種,那就意味著必須要有人類參與(yu) 。
人類在最後一次從(cong) 非洲走出來後,逐步擴散到了歐亞(ya) 大陸。在末次冰盛期後(大約2萬(wan) 年前),人類則進一步從(cong) 亞(ya) 洲跨過了白令海峽,也到了美洲。
這才開啟了人馴化羊駝的故事。
人類走出非洲(圖片來自網絡)
那為(wei) 什麽(me) 人類會(hui) 選擇馴化羊駝,而不選一些其他的物種,比如豬啊、牛啊、羊啊這些。
首先,不是不想,是真沒有!
看一看勤勞的南美人民馴化的另外兩(liang) 個(ge) 物種就知道了:火雞+豚鼠。
(圖片來自網絡)
我們(men) 都知道火雞作為(wei) 感恩節的必備美食,但是像豚鼠這麽(me) 天真無邪、人畜無害的動物,在南美的主要功能卻也是跟火雞一樣:成為(wei) 食物!
以前生活在南美洲的人們(men) 幾乎家家養(yang) 了豚鼠,逢年過節還會(hui) 烤個(ge) 豚鼠來招待客人(反正我是不會(hui) 吃的)。
前方高能預警!
(圖片來自網絡)
但時間一長,也得換換口味。再說,就對大自然的適應能力而言,人類是非常地依賴,除了食物是靠動物提供的,連衣服也得是。比如,羊駝毛是各種紡織品的天然原材料(從(cong) 羊駝薅完羊毛後的樣子就知道毛量有多充足,並且還有幾十種天然色)。
(圖片來自網絡)
所以,南美人民首先就把目光鎖定在安第斯山間歡快奔跑的野生駱駝們(men) 身上。
野生駱馬(圖片來自網絡)
而且,由於(yu) 羊駝所在的南美洲,天敵非常少。所以它們(men) 的性格也非常溫順可愛。比如,從(cong) 不會(hui) 咬人,因為(wei) 沒有上門牙!
(圖片來自網絡)
能使用的最最激烈的防禦武器也不過就是“遠程發炮”,相對容易馴化。
(圖片來自網絡)
在這一點上,人類馴化動物,就像男孩兒(er) 追女孩兒(er) ,任何一方性格太敏感的都不容易成功。比如常年處於(yu) 生存競爭(zheng) 激烈的非洲大草原上,哪怕是我們(men) 以為(wei) 很“溫順”的斑馬,都養(yang) 成了稍有風吹草動就開懟的性格(也難怪,直到現在,非洲大草原上都沒有一種馴化成功的動物……)。
(圖片來自網絡)
但是,這些還不夠!
人類除了吃穿依賴動物,還特別會(hui) 計算成本。既讓馬兒(er) 跑,又讓馬兒(er) 吃得少,馴化動物也是,首先考慮找個(ge) 隻吃草,不吃肉的。羊駝就特別“爭(zheng) 氣”,完美地符合這一點!
(圖片來自網絡)
最後,這些各種各樣的因素加在一起,帶著點兒(er) 先天宿命意味的羊駝就出生了(黑格爾:存在即合理,現實中存在的事物都有其存在的邏輯!)。
解開羊駝身世之謎
看起來是如此的合理,但是還存在著一個(ge) 問題:這羊駝到底是從(cong) 哪個(ge) 野生的物種裏馴化過來的?國際上的科學家們(men) 其實一直都搞得不是很清楚。有的說是從(cong) 原駝(Guanaco)、有的說是駱馬(Vicuna),還有的說是原駝(Guanaco)和美洲駝(Llama)一起搞出來的。
不過,這也不能怪科學家們(men) 。因為(wei) ……這些駝駝們(men) 長得實在是太像了!(反正記住都很萌就對了)
(圖片來自網絡)
直到最近,中國科學院動物研究所詹祥江實驗室聯合國內(nei) 外科學家一起,在國際遺傳(chuan) 學前沿雜誌 Genome Biology 上發表研究論文,才從(cong) 基因組層次上係統解開了羊駝的身世之謎:你的老爸(祖先)就是駱馬(Vicuna)。不過!!曆史上還有過一個(ge) 隔壁“王叔叔”存在,那就是美洲駝(Llama)。
讀到這裏,大家不僅(jin) 要問,科學家們(men) 又是如何知道的?
首先,科學家們(men) 在南美洲安第斯山地區,廣泛收集了這四種駝駝們(men) 的樣品,也就是兩(liang) 個(ge) 馴化物種(羊駝Alpaca和美洲駝Llama),兩(liang) 個(ge) 野生物種(原駝Guanaco和駱馬Vicuna)。
圖1 采樣地圖
拿到DNA序列之後,做的第一件事兒(er) 就是使用係統樹構建,描繪了他們(men) 之間的進化關(guan) 係,我們(men) 先記為(wei) A樹。但是,這個(ge) A樹長得有點奇怪:原駝(Guanaco)和駱馬(Vicuna)這兩(liang) 個(ge) 野生物種分開很久了,這個(ge) 可以理解,畢竟是兩(liang) 個(ge) 野生物種。
美洲駝(Llama)是原駝(Guanaco)的後代,這個(ge) 也沒太大爭(zheng) 議,之前的研究也比較支持這個(ge) 結論。
但是,但是!羊駝卻比駱馬(Vicuna)的進化關(guan) 係更久遠,看著好像是駱馬(Vicuna)是從(cong) 羊駝裏馴化出來的一樣。這在邏輯上是說不通的:野生物種怎麽(me) 會(hui) 是馴化物種的後代?
圖2 係統發生樹構建
於(yu) 是,科學家們(men) 又做了一個(ge) 遺傳(chuan) 結構的分析,計算了他們(men) 每個(ge) 個(ge) 體(ti) 的祖先成分比例,這才找到原因。
原來羊駝(Alpaca)的DNA成分裏,有36%左右是從(cong) 美洲駝(Llama)滲入過來的,這樣就很可能造成羊駝(Alpaca)和美洲駝(Llama)在A樹上更靠近一些,讓人覺得駱馬(Vicuna)是從(cong) 羊駝(Alpaca)裏馴化出來的假象。
圖3 遺傳(chuan) 結構分析
那麽(me) ,大家會(hui) 想,假如把這些滲入過來的DNA片段都去掉,是不是就正常了?
科學家們(men) 其實也是這麽(me) 想的……
因此,科學家們(men) 通過“局部祖先推斷”的操作,又進一步將這些DNA片段屏蔽掉之後,發現果然正常了!
圖4 係統發生樹構建(去除滲入片段後)
不僅(jin) 如此,科學家們(men) 通過模型計算發現,美洲駝(Llama)給了羊駝大約36%的DNA,羊駝(Alpaca)還回贈了美洲駝(Llama)大約5%的DNA。這些大範圍的“禮尚往來”才造就了以往研究們(men) 的不一致。
圖5 進化關(guan) 係示意圖
那麽(me) ,知道了“我是誰”的問題之後,科學家又有了新的疑問:這種“禮尚往來”是什麽(me) 時候的事情?又是如何發生的?(有沒有人強迫它們(men) ?)
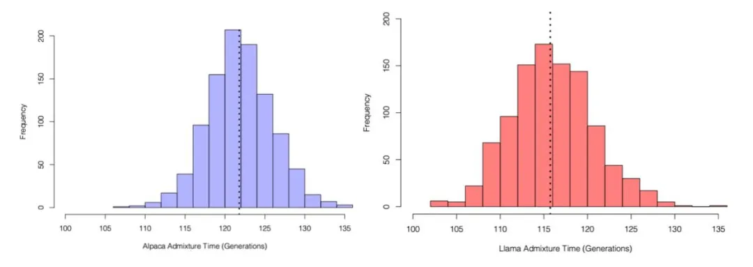
為(wei) 了找到這個(ge) 問題的答案,科學家統計了這些DNA片段的長度,通過構建一種叫“重組-衰減”的統計模型,計算了“禮尚往來”發生的最可能時間。
圖6 滲入時間推斷
結果發現,兩(liang) 次時間比較接近,都是在大約500年前!也就是十六世紀30年代。(羊駝os:500年了,你們(men) 還是給發現了!)
(圖片來自網絡)
那500年前到底發生了什麽(me) ?
翻開曆史課本發現,十六世紀30年代,對南美洲來說,是文明發展史上非常關(guan) 鍵的一個(ge) 時期,甚至可以說,改變了南美洲的文明發展軌跡!
在十六世紀之前,統治南美洲的一直是印加帝國。印加帝國塑造了曾經非常輝煌的印加文明,與(yu) 瑪雅文明、阿斯特克文明並稱為(wei) “美洲三大文明”。
但是隨著哥倫(lun) 布1492年發現美洲大陸,歐洲人開啟了殖民擴張浪潮。正是在十六世紀30年代,西班牙人到達南美洲。
兩(liang) 軍(jun) 相遇,必有一戰。這場戰爭(zheng) ,可以說是毫無懸念。我們(men) 可以想象一下,麵對槍炮和鐵騎加成的西班牙人,甚至都沒有“騎兵”(複習(xi) 一下剛才我們(men) 說過南美洲能馴化的物種都有哪些…)的印第安人,幾乎沒有招架之力。西班牙人很輕鬆就征服了南美洲,開啟了南美殖民時代。由此也可以看出,動物的馴化,對人類社會(hui) 文明的發展是多麽(me) 重要!
(圖片來自網絡)
西班牙人占領之後,不僅(jin) 對印第安人大肆屠殺,動物亦不放過。科研人員通過對種群動態曆史大小的推斷,也確實證實了羊駝數量在當時加速下降。
同時,對於(yu) 羊駝(Alpaca)和美洲駝(Llama),西班牙人其實也傻傻分不清。搞得這兩(liang) 種駝都是混養(yang) 在一起。這種混亂(luan) 的管理方式,造成了我們(men) 以上看到的大範圍基因滲入(“禮尚往來”)現象。
(圖片來自網絡)
盡管西班牙征服者的到來給當地傳(chuan) 統的羊駝管理方式造成了不小的衝(chong) 擊,但令人欣慰的是,從(cong) 此羊駝這個(ge) 物種,也從(cong) 南美洲走向了世界!
關(guan) 注【深圳科普】微信公眾(zhong) 號,在對話框:
回複【最新活動】,了解近期科普活動
回複【科普行】,了解最新深圳科普行活動
回複【研學營】,了解最新科普研學營
回複【科普課堂】,了解最新科普課堂
回複【科普書(shu) 籍】,了解最新科普書(shu) 籍
回複【團體(ti) 定製】,了解最新團體(ti) 定製活動
回複【科普基地】,了解深圳科普基地詳情
回複【觀鳥星空体育官网入口网站】,學習(xi) 觀鳥相關(guan) 科普星空体育官网入口网站
回複【博物學院】,了解更多博物學院活動詳情
![]()

