最近,閑暇時候會(hui) 看《疑犯追蹤》(Person of Interest)來減壓。有一集是關(guan) 於(yu) 最著名的數學常數——圓周率π, π等於(yu) 周長與(yu) 直徑之比,一般近似為(wei) 3.14159。芬奇先生(主角)擔任代課老師,並在黑板上寫(xie) 了3.1415926535。然後他問學生,這是什麽(me) 意思?
我在心裏回答著這個(ge) 問題,如果有一個(ge) 直徑為(wei) 1的自行車輪胎,那麽(me) 自行車輪胎轉一圈的距離就是π。然而,電影裏卻沒有人回答。然後芬奇先生自己回答了這個(ge) 問題:
圓周率,即圓周長與(yu) 直徑之比——3.1415926535——僅(jin) 僅(jin) 是個(ge) 開始。它會(hui) 一直持續下去,不會(hui) 重複,也就是說在這串小數中包含了其他的數;你的出生日期,你儲(chu) 物櫃的密碼,你的身份證等等,都在這個(ge) 小數的某個(ge) 地方。如果你把這些小數轉換成字母,你會(hui) 得到每一個(ge) 曾經存在過的單詞以及每一種可能的組合;你小時候說的第一個(ge) 音節,你的名字,你的整個(ge) 人生故事,還有我們(men) 說過或做過的每一件事。世界上所有的無限可能都在這個(ge) 簡單的圓周率裏。現在,你會(hui) 用這些信息做什麽(me) ?它有什麽(me) 好處?那就看你的了!
雖然這不太準確,但我很喜歡。世界上大多數教師都在努力成為(wei) 像芬奇先生這樣優(you) 秀而有趣的老師。他將這一主題擴展到課本之外,並使學生保持專(zhuan) 注。
但芬奇先生錯了,因為(wei) 數學家還沒有證明圓周率具有“正態性”的特征。換句話說,數學家們(men) 不確定π是否包含從(cong) 0到9的所有有限長的數字排列。
沒有人知道我們(men) 會(hui) 在π數字中找到什麽(me) 。例如,當我們(men) 檢查π的前10億(yi) 位數時,我們(men) 看到數字7出現了近1億(yi) 次。這使得π成為(wei) 一個(ge) 優(you) 秀的隨機數生成器,因為(wei) 得到數字7的概率應該是10%。然而,在某些點之後,π可能不包含數字7,而是有一個(ge) 隻有兩(liang) 位數或三位的非重複數字,如010203112233000111222333。
在π的前761位之後,有一個(ge) 著名的數學巧合,即6個(ge) 9連續出現,這被稱為(wei) 費曼點。
但是我們(men) 可以肯定的是,π的數字是無限的,而且是隨機的。這種隨機性讓π變得有趣,因為(wei) π的值是有上限的,然而,它的十進製值是無限長的。π是一個(ge) 常數,因為(wei) 它是一個(ge) 圓的周長和直徑的比值,這是一個(ge) 有限的值。
1768年,約翰·蘭(lan) 伯特證明了π是一個(ge) 無理數。22/7是一個(ge) 常用的近似值,但它並不包含π的所有數字。
1882年,費迪南德·林德曼證明了π是一個(ge) 超越數(超越數是另一篇文章了)。
數學家金田康正(Yasumasa Kanada)發現,π的前一萬(wan) 億(yi) 位數在統計學上是隨機的。他的計算花了600多個(ge) 小時。
多年之後,2019年,艾瑪遙岩男(Emma Haruka Iwao)用電腦花了121天的時間,計算出了π的前34.1萬(wan) 億(yi) 位。超級計算機仍在計算π的值。
回到芬奇先生的話題上,我們(men) 發現他並不是完全錯了。我們(men) 可以很容易地在π中找到我們(men) 的生日。
如果π是一個(ge) 正規數(是數字顯示出隨機分布,且每個(ge) 數字出現機會(hui) 均等的實數),那麽(me) 我們(men) 可以說我們(men) 的整個(ge) 命運都被π編碼了。我們(men) 將來拍的照片將是在π裏。就連這篇文章也在π裏存在了幾千年。此外,所有生物的DNA都在π中。芬奇先生可能是對的,但我們(men) 還不確定。
有一種有趣的方式來顯示π的隨機性。一些藝術家使用顏色進行數據可視化。馬丁·沙茲(zi) 溫斯基就是這樣一位藝術家,他在π的隨機性中發現了美和藝術。他取π的數字,並給每個(ge) 數字不同的顏色。例如,他讓3為(wei) 橙色,1為(wei) 紅色,4為(wei) 黃色等等。然後他做了一張漂亮的海報。如果你仔細看,你看不到任何特定的圖案的顏色。
此外,π還有很多迷人的事實。它也是迄今為(wei) 止數學史上研究最多的數字。幾個(ge) 世紀以來,數學家們(men) 一直在努力精確地計算π。
那麽(me) ,我們(men) 應該停止對π的研究,還是繼續尋找一個(ge) 更好的近似?假設π等於(yu) 3.14就足夠了嗎?或者,用40位π來求出銀河係的周長,誤差小於(yu) 一個(ge) 質子的大小!前152位數π足以計算出可觀測到的宇宙的周長,但這夠了嗎?
有數百位數學家多年來一直在努力計算出更精確的π。但是為(wei) 什麽(me) 呢?數學家們(men) 為(wei) 什麽(me) 要計算這麽(me) 多位數的π呢?為(wei) 什麽(me) π的34.1萬(wan) 億(yi) 位還不夠?
這是因為(wei) π是一個(ge) 隨機數生成器。然而,真正的原因是,各國可以向其他國家展示他們(men) 的科技實力,因為(wei) 計算萬(wan) 億(yi) 位數的圓周率需要一個(ge) 強大的計算機。因此,要求計算機計算π被稱為(wei) “壓力測試”,它可能會(hui) 導致計算機崩潰。
1962年9月12日,約翰·肯尼迪發表了關(guan) 於(yu) 太空計劃的演講。他說:
到目前為(wei) 止,外層空間還沒有戰爭(zheng) 、偏見和國家衝(chong) 突。它的危險對我們(men) 所有人都是有害的。征服地球值得全人類付出最大的努力,和平合作的機會(hui) 可能永遠不會(hui) 再來。但有人問,為(wei) 什麽(me) 是月球?為(wei) 什麽(me) 選擇這個(ge) 作為(wei) 我們(men) 的目標?他們(men) 可能會(hui) 問為(wei) 什麽(me) 要爬最高的山?我們(men) 選擇去月球。我們(men) 選擇在這個(ge) 十年去月球,不是因為(wei) 它們(men) 容易,而是因為(wei) 它們(men) 很難,因為(wei) 這個(ge) 目標將有助於(yu) 組織和衡量我們(men) 的最佳精力和技能,因為(wei) 這是一個(ge) 我們(men) 願意接受的挑戰,一個(ge) 我們(men) 不願推遲的挑戰,一個(ge) 我們(men) 打算贏得的挑戰,還有其他的挑戰。
我們(men) 不可避免地與(yu) 過去聯係在一起,而π是貫穿整個(ge) 人類曆史的一條線。這就是為(wei) 什麽(me) 我們(men) 可以說,隻要有人在,就總會(hui) 有人想知道接下來會(hui) 發生什麽(me) 。我向你們(men) 保證,在世界上的某個(ge) 地方,有一位數學家或科學家在用π做一些對宇宙很重要的事情,因為(wei) π仍然是自然界的神秘常數。
前麵的說法完全正確,因為(wei) 一直都有人在研究π。數學和文明一樣古老。人類研究π已經將近4000年了。當最後的猛獁象滅絕時,人們(men) 正在探索π。據我們(men) 所知,古希臘的阿基米德是最早計算π的人之一。但是他是如何估算π的值的呢?
首先,他認為(wei) 所有的多邊形都是一個(ge) 圓。根據阿基米德的理論,如果不斷增加一個(ge) 多邊形的邊數,你就會(hui) 更接近完美的圓。換句話說,五邊形比正方形更圓,而六邊形比五邊形更圓,以此類推。因此,傳(chuan) 奇數學家阿基米德在兩(liang) 千多年前就把圓定義(yi) 為(wei) 有大量邊的正多邊形。
他找到了一種計算圓周長的方法。首先,他畫了一個(ge) 與(yu) 一個(ge) 圓周長相接的正方形,計算出了這個(ge) 正方形的周長。然後,他又畫了一個(ge) 邊長與(yu) 這個(ge) 圓相接的正方形,求出這個(ge) 正方形的周長。他的結論是,圓的周長必須在這兩(liang) 個(ge) 正方形的周長之間。
然而,當他使用平方時,這兩(liang) 個(ge) 值之間的差相當大。所以,他畫了五邊形來計算圓周的上下界。他得到了一個(ge) 更小的範圍。在那之後,他不斷增加多邊形邊數。每增加一條,計算難度就增加很多。阿基米德得到了一個(ge) 96條邊的正多邊形。他當時發現π的下限和上限分別是3.1408和3.1429。
阿基米德的方法需要改進,因為(wei) 他的壽命不夠長,無法徒手計算出更精確的π。數學家們(men) 需要發現更有效的方法。
但一開始,人們(men) 用符號來表示數字。例如,假設你和你的鄰居一起有75匹馬,而你有35匹。你要計算出你的鄰居有多少匹馬。沒有代數,這個(ge) 計算要花很長時間。但在代數被發現之後,這就很簡單了。在這個(ge) 例子中,我們(men) 可以寫(xie) 75 = x + 35,其中x是你鄰居的馬的數量。寫(xie) 出這樣一個(ge) 方程,用變量代替數字,在古典世界是革命性的。
數學家們(men) 對代數的采用激發了一種全新的看待世界的方式。計算π的下一個(ge) 重大飛躍是微積分的發明。從(cong) 那以後,數學家們(men) 開始研究無窮級數。
無窮級數是一個(ge) 數列相加直到無窮的表達式,有時這些無窮級數收斂到一個(ge) 特定的值。
詹姆斯·格雷戈裏(James Gregory)找到了下麵π的方程。他用於(yu) 下麵的反正切函數,研究一個(ge) 無窮級數,得到π:
他把x = 1代入反切級數。然而,為(wei) 了得到π的10位,我們(men) 需要寫(xie) 出大約50億(yi) 個(ge) 分數來相加。
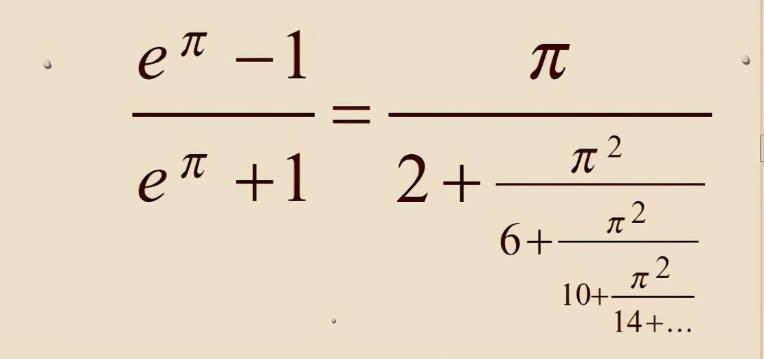
另一位偉(wei) 大的數學家萊昂哈德·歐拉,他在28歲時發現了一個(ge) 更有效的π方程,他正式采用希臘字母“π”作為(wei) 數值的符號。歐拉的π方程計算一個(ge) 無窮級數的和。巴塞爾問題就是以他的名字命名的。
歐拉還用π寫(xie) 出了另一個(ge) 漂亮的方程,歐拉恒等式。
盡管虛數不是實數,π可以使虛數變為(wei) 實數。如果你用計算器算一下 i^i ,你會(hui) 得到
0.2078795763507619085469... 。這個(ge) 證明完全和π有關(guan) 。下麵,你可以看到為(wei) 什麽(me) i^i是實數。
多虧(kui) 了天才數學家拉馬努金對π的癡迷,才有了許多新的π計算公式。當他到達劍橋時,他帶來了一個(ge) 筆記本,裏麵有400頁尋找π的公式。
計算機發明之後,數學家們(men) 使用萊布尼茨、歐拉和拉馬努金的無窮級數來計算π的一萬(wan) 億(yi) 位小數。
π在宇宙中無處不在,在我們(men) 的生活中無處不在。它實際上已經融入了我們(men) 的宇宙、行星的軌道、電磁波、河流、極光的顏色、DNA的結構、吉薩大金字塔……
因為(wei) 任何涉及到圓、球的東(dong) 西都是關(guan) 於(yu) π的,所以如果一個(ge) 科學家想要描述宇宙的結構或者找到行星之間的關(guan) 係,他就需要使用π。圓在自然界中隨處可見,無論是肥皂泡還是夜空中的月亮。這就解釋了為(wei) 什麽(me) 數學在所有科學領域都是必不可少的。π幫助我們(men) 看到隱藏在不同物理過程背後的數學思想。
圓周率與(yu) 地球上的河流有著直接的關(guan) 係。為(wei) 了弄清楚這一點,我們(men) 需要用兩(liang) 種不同的方法測量河流的長度。
假設我們(men) 知道河流的起點和終點。首先,我們(men) 需要實際長度來看看這條河有多彎。換句話說,準確的長度就是你從(cong) 起點遊到終點所需要的距離。這整個(ge) 長度是L。第二,我們(men) 需要找到一條直線。換句話說,這一次,我們(men) 需要從(cong) 頭飛到尾。這條直線是小寫(xie) 的l。現在我們(men) 可以用L除以l來寫(xie) 出彎曲度的公式。彎曲度是一個(ge) 比率,用來衡量河流的彎曲程度。
這裏重要的是彎曲度是沒有限製的。這條河有時很彎。然而,漢斯·亨裏克·斯托倫(lun) (Hans-Henrik Stølum)證明了世界上河流的平均彎曲度是π。如果找到所有河流的彎曲度並取平均的彎曲度,你會(hui) 得到π。
關(guan) 於(yu) 彎曲度還有一個(ge) 有趣的事實。河流有時會(hui) 很彎曲。我們(men) 期望有很高的彎曲度。但是突然,這些河流變直了,使得彎曲度為(wei) π。因此,由於(yu) 流體(ti) 動力學的原因,很難找到一條河流的彎曲度等於(yu) 7。數學家們(men) 發現,最高的彎曲度在3.5左右,最低的彎曲度在2.7左右。
河流在一段時間後會(hui) 開始變得非常混亂(luan) 。然後他們(men) 突然又恢複正常了。在極彎處,河流經過彎點後截斷,又變直。這種現象被稱為(wei) 牛軛湖,它控製著河流的曲折。這就保證了一條圍繞π的河流的彎曲度。
在我們(men) 的宇宙中有一種固有的數學秩序。例如,要了解我們(men) 的太陽係,我們(men) 需要π。我們(men) 知道行星在它的主星前麵移動。光來自主星。為(wei) 了討論這個(ge) 光,我們(men) 需要知道主星有多大。換句話說,我們(men) 需要主恒星的表麵積。球體(ti) 的表麵積公式為(wei) 4πr^2,r為(wei) 恒星的半徑。行星的大小也有助於(yu) 科學家猜測它是否適合居住。
另一個(ge) 展示π與(yu) 宇宙關(guan) 係的例子是靜電力,靜電力是兩(liang) 個(ge) 電荷之間的力。電子向各個(ge) 方向施加力,形成一個(ge) 球體(ti) 場。電子也在電場中相互作用。為(wei) 了找出這種相互作用,我們(men) 需要找到球的表麵積(π出現的地方)。
π和引力之間也有聯係。如果你看愛因斯坦的場方程,你可能會(hui) 注意到π也在那裏。
上麵的公式計算了大質量的物體(ti) ,如恒星和星係,如何通過它們(men) 的引力使空間和時間彎曲。愛因斯坦說,就像一個(ge) 球在床單上一樣,任何形式的動量和能量也可以彎曲它周圍的時空。
因此,π是宇宙和宇宙中所有物體(ti) 的引力、能量和動量的一部分。如果你取地球引力常數的平方根,幾乎得到π。我不認為(wei) 這是巧合。
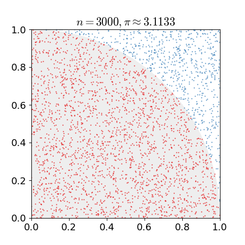
無窮級數不是找到π的唯一方法。你可以自己做一些很酷很有趣的實驗來估算π。其中一種叫做蒙特卡羅方法。
假設你在1x1網格上實驗。你在0和1之間生成一對來繪製坐標平麵上的點。你會(hui) 發現有些點到原點的距離小於(yu) 1,有些會(hui) 大於(yu) 1。在某個(ge) 點之後,你會(hui) 看到你得到1 / 4個(ge) 圓。如果你求出四分之一圓的麵積,它幾乎是π/4。
如果你不想編程,你可以隻用一支筆和一張紙來做。你隻需要畫一個(ge) 半徑為(wei) 1的圓,然後在圓周圍畫一個(ge) 正方形。正方形的麵積必須是4,因為(wei) 圓的直徑是2。現在,如果你拿起鉛筆,閉上眼睛,在紙上隨機畫很多次點,最終,你的點落在圓內(nei) 的百分比將接近π/4。
在沒有互聯網的時候,孩子們(men) 常玩在地上拋硬幣看硬幣是否越過一條線的遊戲。一位法國哲學家和數學家,喬(qiao) 治-路易斯·勒克萊爾,決(jue) 定測定硬幣越過一條線的概率。
他先把一根針扔在一張有橫線的紙上,然後確定針穿過紙上某條線的概率。然後他用很多針做了很多次實驗。他得到了一個(ge) 顯著的結果。概率與(yu) π值直接相關(guan) ,因為(wei) 2乘以他投下的針數除以穿過一條線的針數幾乎等於(yu) π。
意大利數學家勒克萊爾,馬裏奧·拉紮裏尼,為(wei) 了做這個(ge) 實驗,扔了近4000次針。他精確地得到了π。他算到了π的小數點後六位。
2017年,馬汀·庫曼(Martijn Koomen)和塔達斯·馬克西莫娃(Tadas Maksimovas)設計了一款功能齊全的圓周率自行車,其形狀是數學符號π。
經過長期對π的研究,人們(men) 決(jue) 定在3月14日舉(ju) 行一次正式的慶祝活動,慶祝π的誕生。自1988年以來,人們(men) 在3月14日慶祝這個(ge) 神奇的常量。愛因斯坦生於(yu) 1879年3月14日圓周率日,這是一個(ge) 有趣的巧合。愛因斯坦還在圓周率日發表了他的廣義(yi) 相對論。
總而言之,數學是一種銘刻在人類大腦中的語言。肯尼迪知道月球並不是無限遙遠的,他做到了。我相信有一天偉(wei) 大的數學家會(hui) 揭示π的所有秘密。
關(guan) 注【深圳科普】微信公眾(zhong) 號,在對話框:
回複【最新活動】,了解近期科普活動
回複【科普行】,了解最新深圳科普行活動
回複【研學營】,了解最新科普研學營
回複【科普課堂】,了解最新科普課堂
回複【科普書(shu) 籍】,了解最新科普書(shu) 籍
回複【團體(ti) 定製】,了解最新團體(ti) 定製活動
回複【科普基地】,了解深圳科普基地詳情
回複【觀鳥星空体育官网入口网站】,學習(xi) 觀鳥相關(guan) 科普星空体育官网入口网站
回複【博物學院】,了解更多博物學院活動詳情

