蒙娜麗(li) 莎的微笑、瑪麗(li) ·盧·雷頓的奧林匹克跳馬、瑪麗(li) 亞(ya) ·凱莉的音樂(le) 風格。所有這些都被認為(wei) 是完美的。數字6和28也是!
在藝術和運動方麵,完美在於(yu) 觀察者的眼光。但對於(yu) 數字來說,完美是有數學定義(yi) 的。“完全數(完美數、完備數)”等於(yu) 它所有的真因子(即除了自身以外的約數)的和(即因子函數)。例如,6 = 3 + 2 + 1;28 = 14 + 7 + 4 + 2 + 1。它們(men) 提供了一些不可抗拒的東(dong) 西:一種完美的神秘。
歐幾裏得在2000多年前就提出了完美數的基礎星空体育官网入口网站,他知道最初的四個(ge) 完美數是6,28,496和8128。從(cong) 那時起,人們(men) 發現了更多的完美數。但奇怪的是,它們(men) 都是偶數。沒有人能找到一個(ge) 奇完美數,經過幾千年不成功的探索,人們(men) 可能會(hui) 得出這樣的結論:奇完美數不存在。但數學家們(men) 也無法證明這一點。為(wei) 什麽(me) 我們(men) 知道那麽(me) 多關(guan) 於(yu) 偶數的星空体育官网入口网站卻不能回答關(guan) 於(yu) 奇數的最簡單的問題呢?現代數學家是如何試圖解決(jue) 這個(ge) 古老的問題的呢?
我們(men) 對數學完美的探索始於(yu) 因數(約數)。我們(men) 知道6是12的約數,因為(wei) 12/6 = 2,我們(men) 知道25是100的約數,因為(wei) 100/25 = 4。正如我們(men) 所說的,我們(men) 知道一個(ge) 數等於(yu) 它的因數的和(除它本身外)。我們(men) 也可以把一個(ge) 數定義(yi) 為(wei) 這樣的完全數,即它的所有因數(真因數和非真因數)之和是這個(ge) 數的兩(liang) 倍。根據這個(ge) 定義(yi) ,我們(men) 可以看到28仍然是完美的:它的真約數是1、2、4、7和14,它的假約數是28,所有約數的總和,1 + 2 + 4 + 7 + 14 + 28,是56,也就是2 × 28。這對於(yu) 我們(men) 將要用完全數做的代數運算是很方便的,我們(men) 很快就會(hui) 看到。
完全數等於(yu) 它的因數之和,所以數學家們(men) 把它轉化成一個(ge) 函數來簡化問題。我們(men) 定義(yi) σ(n)為(wei) n的因數之和。我們(men) 已經知道σ(28)= 56。一些其他的例子是:σ(1) = 1, σ(6) = 1 + 2 + 3 + 6 = 12, σ(10) = 1 + 2 + 5 + 10 = 18。注意6是一個(ge) 完美數,因為(wei) σ(6) = 2 × 6,但1和10不是。正如我們(men) 將看到的,這個(ge) 函數σ有一些特殊的性質,非常適合研究完全數。
我們(men) 得到了完全數的基本定義(yi) 和一個(ge) 新的數學工具來幫助我們(men) 找到它們(men) 。我們(men) 應該從(cong) 哪裏開始尋找?我們(men) 將從(cong) 質數開始。
根據定義(yi) ,質數隻能被它自己和1整除。這使得計算質數的σ相當容易:σ(2) = 1 + 2 = 3, σ(3) = 1 + 3 = 4, σ(5) = 1 + 5 = 6,和σ(7) = 1 + 7 = 8。一般來說,對於(yu) 任何質數p, σ(p) = 1 + p。
質數是完美的嗎?σ(p) = 1 + p = 2p。一些代數星空体育官网入口网站告訴我們(men) ,當p = 1時是成立的,但根據定義(yi) ,1不是質數,所以質數都不是完美的。我們(men) 已經知道質數不可能是完美的。接下來呢?
質數的冪——像2^4、5^3或11^36這樣的數字——是一個(ge) 很好的方法,因為(wei) 它們(men) 的因數很容易組織。考慮一個(ge) 質數冪,比如16或2^4。2^4的約數是2^0到2^4的冪:2^0 = 1,2^1 = 2,2^2 = 4,2^3 = 8,2^4 = 16。所以σ(24)可以這樣計算:
一般來說,對於(yu) 任意質數p數,σ(p^n)為(wei) :
這就是所謂的幾何級數,幾何級數和有一個(ge) 很好的公式:
由於(yu) 幾何級數公式,我們(men) 不需要列出p^n的所有因子來計算σ(p^n)。我們(men) 可以用這個(ge) 公式:
例如,我們(men) 已經算過:
我們(men) 也可以計算其他質數冪的σ,如:
注意,這些素數冪均不滿足完美數的條件:σ(2^4)≠2 × 2^4、σ(3^3)≠2 × 3^3、σ(11^2)≠2 × 11^2。事為(wei) 了得到一個(ge) 完美的數字,需要σ((p^n)= 2p^n,這意味著:
我們(men) 可以從(cong) 方程兩(liang) 邊減去p^n得到:
現在,我們(men) 在等式左邊運用等比級數求和公式:
我們(men) 得到:
它不等於(yu) p^n。因此,質數的冪也都不是完美的。
沒有完美質數,也沒有完美質數冪。那什麽(me) 是完美的?我們(men) 知道28是完美的,它是兩(liang) 個(ge) 素數冪的乘積,28 = 2^2 × 7。
任何不是素數或素數冪的數都可以寫(xie) 成不同素數冪的乘積。這些因式分解,加上σ函數的一個(ge) 特殊性質,可以幫助我們(men) 確定一個(ge) 數是否完美。
我們(men) 已經知道σ(28) = 1 + 2 + 4 + 7 + 14 + 28,但是讓我們(men) 仔細看看這個(ge) 和。注意,最後三個(ge) 數字都是7的倍數:
我們(men) 可以提出7來揭示一些隱藏的結構:
用一些更聰明的因式分解和分配律,我們(men) 可以寫(xie) 出:
這並沒有告訴我們(men) 新的東(dong) 西,隻是證明了28是完美的。但是在這個(ge) 乘法裏麵隱藏著一些重要的東(dong) 西:
括號中的表達式看起來很熟悉:1 + 2^1 + 2^2 = σ(2^2), 1 + 7^1 = σ(7^1)。這意味著:
要計算σ(28) = σ(2^2×7),我們(men) 實際上可以計算σ(2^2)和σ(7)並將它們(men) 相乘。這是令人驚訝的,而且通常是正確的:任何時候把一個(ge) 數字分解成這樣的質數,都可以使用這個(ge) 快捷方式來計算σ。例如,由於(yu) 100 = 2^2×5^2,我們(men) 可以這樣計算σ(100):
這比列出100的9個(ge) 因數並把它們(men) 相加要簡單一些。
為(wei) 什麽(me) 會(hui) 這樣呢?一個(ge) 數的因數來自它的質因數。再考慮28,它是2^2和7的乘積,然後考慮下麵的乘法表:
上邊是能整除28的2的冪,下邊是能整除28的7的冪。注意當我們(men) 填乘法表的時候會(hui) 發生什麽(me) 。
得到28的所有因數。因為(wei) 28的每一個(ge) 因數都是2^2和7的因數的組合,也就是28的因數分解中出現的質數冪。
現在將乘法表與(yu) 表達式進行比較:
用分配律:
換句話說,(1 + 2 + 4)( 1 + 7 )正好是σ(28)。但是(1 + 2 + 4)( 1 + 7 )也是σ(22)σ(7)。所以σ(22)σ(7) = σ(28)這個(ge) 例子演示了關(guan) 於(yu) σ的一個(ge) 非常有用的事實:在數論語言中,這個(ge) 函數是“乘法的”。這意味著當數值a和b互質時,σ(ab) = σ(a)σ(b),這意味著它們(men) 沒有共同的因數。
這是σ的特殊性質,很適合我們(men) 研究完全數。兩(liang) 千年前,歐幾裏得利用這一事實,創造了一個(ge) 尋找完美數的公式。在此過程中,他邁出了確定每一個(ge) 完美數字的第一步。我們(men) 來看看他是怎麽(me) 做到的。
首先,注意到對於(yu) 2的任意次冪:
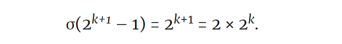
這是我們(men) 先前討論過的幾何級數公式的結果。現在考慮下麵的思想實驗:如果2k+1 - 1是質數會(hui) 怎樣?
因為(wei) 對於(yu) 任何質數,σ(p) = 1 + p,我們(men) 知道σ(2^(k+1) - 1)= 1 + 2^(k+1) - 1 = 2^(k+1)。注意2^(k+1)正好是2^k的兩(liang) 倍。在數字2^k和2^(k+1) - 1之間,有以下關(guan) 係:
並且:
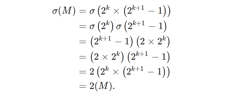
歐幾裏得發現了一個(ge) 利用這些關(guan) 係的聰明方法,他把這兩(liang) 個(ge) 數放在一起,使M = 2^k × (2^(k+1) - 1),隻要(2^(k+1) - 1)是素數,這個(ge) 數就是完美的。為(wei) 了更清楚地看到這一點,我們(men) 將計算σ(M)並表明它等於(yu) 2M。
首先,注意2^(k+1) - 1比偶數小1,所以它一定是奇數。這意味著2^(k+1) - 1不能被2整除。但是2^k隻能被2的冪整除。所以2^k和2^(k+1) - 1沒有公因數,因此它們(men) 是互質的。這允許我們(men) 使用σ的乘法性質:
我們(men) 已經知道σ(2^k)= 2^(k+1) - 1和σ(2^(k+1) - 1)= 2^(k+1) = 2 × 2^k,所以我們(men) 可以得到σ(M):
所以M = 2^k × (2^(k+1) - 1)是完美的。
記住,這是基於(yu) 2^(k+1) - 1是質數的假設。這些數字被稱為(wei) 梅森素數,你可能聽說過它們(men) ,因為(wei) 有了“互聯網梅森素數搜索”(GIMPS),這是一個(ge) 在線協作計算項目,旨在尋找巨大的梅森素數。多虧(kui) 了歐幾裏得的證明,任何時候一個(ge) 新的梅森素數被發現,意味著一個(ge) 新的完美數也被發現。
例如,2^5-1 = 31是一個(ge) 梅森素數,所以2^4(2^5-1)= 16 × 31 = 486是一個(ge) 完美數。此外,2^2 - 1 = 3是一個(ge) 梅森素數,所以2^1(2^2 - 1)= 2 × 3 = 6是完美的。而2^3 - 1 = 7是一個(ge) 梅森素數,所以2^2(2^3 - 1)= 4 × 7 = 28是完美的。
你可能已經注意到所有這些完美數都是偶數。這是有意義(yi) 的,因為(wei) 隻要k > 0,2^k × (2^(k+1) - 1)就是偶數。
你可能也已經注意到,到目前為(wei) 止我們(men) 討論的所有完美數似乎都涉及梅森素數。這並非巧合,2000年前歐幾裏得證明了這個(ge) 公式可以產(chan) 生完美數,而萊昂哈德·歐拉證明了這是得到完美數的唯一方法。但是奇完全數是什麽(me) 樣子的問題(如果它們(men) 存在的話)。
盡管數學家們(men) 找不到一個(ge) 完美數,但他們(men) 有很多關(guan) 於(yu) 假設的奇完美數可能是什麽(me) 樣子的信息。它不能被105整除。它必須至少有9個(ge) 不同的質因數,第二大的必須大於(yu) 10,000。除以12餘(yu) 數是1除以36餘(yu) 數是9。
要證明一些甚至可能不存在的數字的結果似乎很奇怪。但每一條新規則都會(hui) 縮小搜索範圍。如果幸運的話,數學家們(men) 可能會(hui) 證明奇完美數必須滿足兩(liang) 個(ge) 不相容的條件,這就能一了百了地證明奇完美數不存在。
為(wei) 了尋找不相容的標準,數學家們(men) 甚至開始研究那些不太完美的數字。例如60,它是3、4和5的乘積,可以被認為(wei) 是“完美的欺騙”:如果你假設它的一個(ge) 因數4是一個(ge) 素數,那麽(me) 我們(men) 為(wei) 根據σ公式,有:
如果σ(60)等於(yu) 120,那麽(me) 60是完美的。當然,σ(60)實際上並不等於(yu) 120,但如果我們(men) 假設4是一個(ge) 質數,它看起來會(hui) 等於(yu) 120。這就是它的搞笑之處。
關(guan) 注【深圳科普】微信公眾(zhong) 號,在對話框:
回複【最新活動】,了解近期科普活動
回複【科普行】,了解最新深圳科普行活動
回複【研學營】,了解最新科普研學營
回複【科普課堂】,了解最新科普課堂
回複【科普書(shu) 籍】,了解最新科普書(shu) 籍
回複【團體(ti) 定製】,了解最新團體(ti) 定製活動
回複【科普基地】,了解深圳科普基地詳情
回複【觀鳥星空体育官网入口网站】,學習(xi) 觀鳥相關(guan) 科普星空体育官网入口网站
回複【博物學院】,了解更多博物學院活動詳情

