德布羅意家族顯赫,其父親(qin) 當過法國總理和外交部長等職。所以生活環境的優(you) 厚造成了德布羅意成為(wei) 類似於(yu) 現在“王思聰一樣的國民老公的待遇”。不過,唯一和思聰不同的是,德布羅意極其聰明。不僅(jin) 他,他的哥哥也是聰明至極,是實驗物理學家,還是法國公爵兼德國親(qin) 王,地位極其顯赫。而德布羅意本科是曆史學專(zhuan) 的,後來實在閑著無聊去讀了5年博士,最後交的博士論文竟然是一頁紙!!!該論文給出了德布羅意波動方程,但是奈何太駭人聽聞,其導師朗之萬(wan) 害怕過不了,所以把德布羅意的論文郵寄給了愛因斯坦求其給予支持,給愛的信中寫(xie) 道:“請您給此論文一個(ge) 評價(jia) ,順便給您介紹一下,此論文作者父親(qin) 是敝國內(nei) 閣部長,如您不惜給出評價(jia) ,相信您來敝國一定會(hui) 收到隆重接待”。
德布羅意
這樣的信顯然是帶有威逼利誘的,不過愛因斯坦看到德布羅意的創造性思維之後,真的給予其了高度評價(jia) :“揭開了改領域大幕的一角”。有了愛因斯坦的支持,德布羅意的論文立馬收到了物理學界的關(guan) 注,特別是當時還是一位鬱鬱不得誌的講師薛定諤看到後,深受啟發。閉關(guan) 了整整一年,悟出了絕世大作:薛定諤波動方程。自此,德布羅意關(guan) 於(yu) 物質波的描述不僅(jin) 幫助其順利拿到了博士論文,並得了諾貝爾獎;還改變了薛定諤的命運,使其一躍成為(wei) 當時最著名的量子物理學家之一,並因此也獲得了諾貝爾獎。一頁紙的博士論文,幫助兩(liang) 個(ge) 人活得諾貝爾獎,也算是前無古人後無來者了。
愛因斯坦
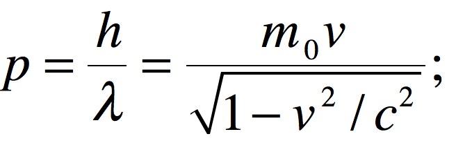
言歸正傳(chuan) ,德布羅意波動方程正是參考了光的波粒二象性實驗而提出的,他認為(wei) 不僅(jin) 僅(jin) 是光,其它微觀粒子也具有波動性。注意,這裏是微觀粒子,並不是說的宏觀物質。當然了,現在把德布羅意的波動概念拓展到宏觀物質也行,比如一個(ge) 運動的汽車,但是這麽(me) 計算下來,其波長會(hui) 遠小於(yu) 普朗克長度,變得毫無意義(yi) 。所以,德布羅意波動方程比較適合微觀基本粒子,比如質子、中子、電子等質量很小的粒子,這樣得出的波長是大於(yu) 普朗克長度的,是有意義(yi) 的。比如我們(men) 通過計算,可以得到200ev電子的波長是0.87埃,即0.087nm,遠遠小於(yu) 一般晶體(ti) 的晶格間距。所以,想要看清楚電子的衍射圖形,需要使用特殊的晶體(ti) 做衍射光柵才行。而物質波的證明,也正是利用這種方式。
物質波波長公式
雖然德布羅意得出了物質波的波長公式,提出了物質波概念,薛定諤據此得出了量子的波動方程,但是這位兩(liang) 自己都沒有搞清楚自己所提出概念的物理意義(yi) 。直到過去很久,才有物理學界玻恩給出了物質波的物理學意義(yi) ,即物質波是概率波,它表示微觀粒子在空間上某個(ge) 點出現的概率。比如德布羅意電子波,就是電子在空間某點出現的概率波,可以用一個(ge) 概率函數來表示,即薛定諤方程。可惜的是,薛定諤一直不承認玻恩對自己波函數的解釋,他和愛因斯坦一樣,都認為(wei) 上帝不會(hui) 擲骰子來決(jue) 定宇宙如何運行。
薛定諤和德布羅意波
很多人覺得德布羅意波就是一個(ge) 晦澀難懂的物理學公式而已,在現實生活在毫無用處。然而並非如此,德布羅意波在某些科技領域給予了我們(men) 極大幫助,比如我們(men) 現在分辨率最高的使用最廣泛的顯微鏡(電鏡):透射電鏡,就涉及到了德布羅意波。
透射電鏡原理圖
我們(men) 都知道,顯微鏡的分辨率公式為(wei) :σ=λ/N;式中σ為(wei) 最小分辨距離;λ為(wei) 光線的波長;N為(wei) 物鏡的數值孔徑。因為(wei) 可見光的波長有一個(ge) 最小值,所以想要提供顯微鏡分辨率隻能夠加大物鏡的數值孔徑。但是物鏡再改造和優(you) 化。其數值孔徑也有一個(ge) 極限值。所以很長一段時間內(nei) ,科學家對此毫無辦法,想要看清楚物質的圍觀形貌,簡直難於(yu) 上青天。
納米顆粒形貌-透射電鏡圖
介孔納米顆粒-投射電鏡圖
棒狀納米金顆粒-投射電鏡圖
好在德布羅意波出現了,德布羅意波可以是基本粒子波,這些粒子的波比光子小的多,所以如果使用這些粒子波,那麽(me) 顯微鏡的分辨率無疑會(hui) 提升很多倍。所以,科學家經過論證,發明了利用電子束作為(wei) 波的電子投射顯微鏡(投射電鏡),利用這種電鏡,我們(men) 可以看清楚很多物質的微觀形貌,其分辨率可以達到埃米級!而現在納米科技如此蓬勃發展,這和投射電鏡是完全分不開的。
所以德布羅意的貢獻,是劃時代的,無與(yu) 倫(lun) 比的。向德布羅意致敬!
關(guan) 注【深圳科普】微信公眾(zhong) 號,在對話框:
回複【最新活動】,了解近期科普活動
回複【科普行】,了解最新深圳科普行活動
回複【研學營】,了解最新科普研學營
回複【科普課堂】,了解最新科普課堂
回複【科普書(shu) 籍】,了解最新科普書(shu) 籍
回複【團體(ti) 定製】,了解最新團體(ti) 定製活動
回複【科普基地】,了解深圳科普基地詳情
回複【觀鳥星空体育官网入口网站】,學習(xi) 觀鳥相關(guan) 科普星空体育官网入口网站
回複【博物學院】,了解更多博物學院活動詳情

