版權歸原作者所有,如有侵權,請聯係我們(men)
出品:科普中國
作者:武雨(中國科學院動物研究所)
監製:中國科普博覽
編者按:為(wei) 解碼生命科學最新奧秘,科普中國前沿科技項目推出“生命新知”係列文章,從(cong) 獨特的視角,解讀生命現象,揭示生物奧秘。讓我們(men) 深入生命世界,探索無限可能。
空曠的大草原上,有一群非洲象在行走。

這是極幹旱地區,象群為(wei) 了采食在進行遷徙,它們(men) 遷徙的路線往往要穿過溪流、湖泊、沼澤等。
在行走的象群隊列中,帶頭的一般是雌象,成員中大多是它的雌性後代;雄象在象群中沒有位置,長到15歲時就必須離開象群,隻有在交配期間才會(hui) 回到象群中。象群行動時要按照地位高低排序,無論吃喝、交配還是走路,都秩序井然。
在這份秩序的背後,是每個(ge) 象群獨有的用於(yu) 聯絡的聲音和氣味。大象通過發出不同的聲音,來給其他成員傳(chuan) 遞不同的信號,以達成群體(ti) 的友好相處。

大象互相輕輕觸碰(問候)
人類的語言擁有精巧的結構,又複雜多變,它幫助人類建立了社會(hui) ,使人成為(wei) 了獨特的物種。人類語言係統的一個(ge) 標誌就是使用“聲音標簽”,也就是說,獨特的聲音代表著一個(ge) 物體(ti) 或者個(ge) 人,這種語音標簽是通過後天學習(xi) 得來的。包括名字在內(nei) 的大多數人類詞匯都是任意的:它們(men) 不是對所指事物發出的聲音的模仿,也不依賴於(yu) 其物理屬性。
在動物的交流係統中,大多數物種發出的聲音是對食物、捕食者或者其他生存需要的反應,這種叫聲通常是天生的,鮮有類似於(yu) 人類語言標簽。少數能夠模仿新奇聲音的動物,如我們(men) 所熟知的鸚鵡,它能夠像人一樣說話,但也僅(jin) 僅(jin) 是一種對人類聲音的模仿,並不具有人類社會(hui) 語言係統的“標簽性質”。
但是,自然界總有“意外”。最近的一項研究卻發現,除了普通交流外,大象還可以像人一樣進行一些更“精準”的交流,也就是互叫名字。
接下來,讓我們(men) 跟隨著科學家的思路來一起探究大象是如何精準交流的:
科學家首先拿到了1986年至2022年在肯尼亞(ya) 桑布魯和水牛泉國家保護區收集的野生非洲大草原大象的雌性後代的錄音,並利用了一個(ge) 精準的機器學習(xi) 模型來分析這些數據。科學家分析數據的過程中提出了四個(ge) 問題,讓我們(men) 一起思考一下:
第一,這個(ge) “名字”是不是獨屬於(yu) 一頭象的呢?
換成科學問題就是,大象發出的聲音是不是針對於(yu) 單個(ge) 接收者的呢?研究者根據關(guan) 聯性和年齡對象群的社會(hui) 關(guan) 係進行了分類,並且隻考慮呼叫者和接收者之間具有相同社會(hui) 關(guan) 係的呼叫。與(yu) 具有相同呼叫者和不同接收者的呼叫相比,具有相同呼叫者和接收者的呼叫明顯更相似。這表明,大象的叫聲包含特定於(yu) 單個(ge) 接收者的信息(下方左圖)。


左圖:具有相同呼叫者和接收者的聲音明顯相似值更高;右圖:呼叫者的典型聲音與(yu) 該接收者回應發出的聲音的相似性分數,與(yu) 呼叫者的典型聲音與(yu) 其他聲音的相似性分數並無顯著差異
(圖片來源:參考文獻1)
第二,這個(ge) “名字”是不是模仿被叫的象發出的聲音呢?
換成科學問題就是,這些聲音標簽是不是模仿接收者的聲音呢?
如果大象通過模仿接收者的聲音來稱呼單個(ge) 的接收者,那麽(me) 這個(ge) 聲音標簽應該比稱呼其他個(ge) 體(ti) 時,聽起來更像接收者的聲音。研究者用接收者的聲音和呼叫者對其他象交流的聲音進行對比,發現59.7%不一致;接收者的呼叫與(yu) 該呼叫者的典型聲音不太相似,也就是說,這些聲音標簽並不是模仿接收者的聲音(上方右圖)。
第三,是不是所有的象都用這個(ge) “名字”呼叫被叫的象呢?
換成科學問題就是,不同的呼叫者是否能夠為(wei) 呼叫同一接收者共享同一個(ge) 聲音標簽呢?
在人類和寬吻海豚中,不同的呼叫者通常對給定的接收者使用相同的聲音標簽。為(wei) 了確定大象是否也這樣做,研究者進一步檢查了叫聲接近度得分。不同呼叫者對同一接收者發出的聲音明顯比不同呼叫者對不同接收者發出的聲音更相似(下方左圖)。


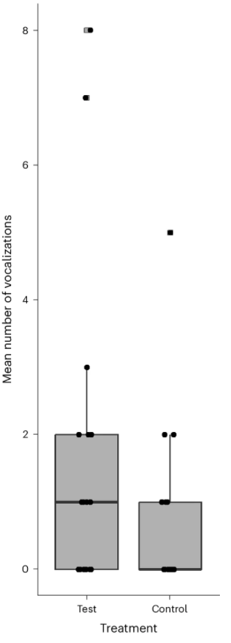
左圖:不同呼叫者對同一接收者發出的聲音明顯比不同呼叫者對不同接收者發出的聲音更相似;右圖:測試組在接收到回放時發出的聲音比對照組多
(圖片來源:參考文獻1)
第四,被叫的象知道別的象在叫自己嗎?
換成科學問題就是,接收者能識別聲音標簽嗎?
為(wei) 了確定大象是否能感知並回應對其他象發出的聲音標簽,研究者們(men) 比較了17頭野生大象對回放最初發給它們(men) 的聲音(測試組)的反應與(yu) 回放來自同一呼叫者的最初發給不同個(ge) 體(ti) 的聲音(對照組)的反應。這些結果進一步支持聲音標簽的存在,受試者更快地接近說話者並產(chan) 生更多發聲,以響應測試組聲音而不是對照組聲音(上方右圖)。
在語言學的研究中,科學家通過利用非人類靈長類動物研究的模型和方法來反觀人類語言的本質。同時,從(cong) 神經生物角度證明了,言語在不同物種之間是成階梯狀連續分布的,人類是高級的語言能力學習(xi) 者,有些物種處在語言學習(xi) 的初級階段。也許,語言並不是人類獨有的。
而大象“喊出的名字裏”,就可能蘊藏著人類社會(hui) 語言形成與(yu) 進化的奧秘。
參考文獻:
1. Pardo, M. A., Fristrup, K., Lolchuragi, D. S., Poole, J. H., Granli, P., Moss, C., Douglas-Hamilton, I., & Wittemyer, G. (2024). African elephants address one another with individually specific name-like calls. Nature ecology & evolution, 10.1038/s41559-024-02420-w. Advance online publication.
2. Clemins, P. J., Johnson, M. T., Leong, K. M., & Savage, A. (2005). Automatic classification and speaker identification of African elephant (Loxodonta africana) vocalizations. The Journal of the Acoustical Society of America, 117(2), 956–963.
3. Soltis, J., Leong, K., & Savage, A. (2005). African elephant vocal communication II: Rumble variation reflects the individual identity and emotional state of callers. Animal Behaviour, 70(3), 589–599.
4. Wittemyer, G., Douglas-Hamilton, I., & Getz, W. M. (2005). The socioecology of elephants: Analysis of the processes creating multitiered social structures. Animal Behaviour, 69(6), 1357–1371.
5. Jarvis, Erich D.. “Evolution of vocal learning and spoken language.” Science 366 (2019): 50 - 54.
歡迎掃碼關(guan) 注深i科普!
我們(men) 將定期推出
公益、免費、優(you) 惠的科普活動和科普好物!


