版權歸原作者所有,如有侵權,請聯係我們(men)
小編每天堅持跑步5 km
跑步機的設置速度也逐漸從(cong) 9 km/h慢慢提升
然而跑到10.5 km/h這個(ge) 速度時
小編忽然好奇
使用手機進行記錄和跑步機的記錄差異會(hui) 有多大?
結果是不試不知道
一試嚇一跳
跑步機速度10.5 km/h累計跑步5 km
共計用時28'34''
換算為(wei) 每公裏配速的話就是…
從(cong) km/h到min/km
真·小學數學
怎麽(me) 樣,算出來了沒有?
跑步機的數據是每公裏配速5.71428…min
約為(wei) 每公裏用時5'43''
而手機記錄的結果是…
共計用時28'47'' 跑步距離6.55 km
(結束記錄時間稍有延遲)
這配速,這距離
小編看了都吃鯨
那麽(me) 問題來了——
我到底跑了多少???
這樣的記錄差異是從(cong) 何而來呢?
華麗(li) 逆襲的跑步機
跑步機作為(wei) 常見室內(nei) 健身器材,我們(men) 都會(hui) 自然而然的認為(wei) 它的作用是幫助大家強身健體(ti) ,為(wei) 室內(nei) 運動提供便利。

(圖片版權圖庫,不授權轉載)
然而萬(wan) 萬(wan) 沒想到,跑步機竟然還有一段從(cong) 刑具逆襲成為(wei) 健身器材的勵誌故事…
跑步機對應的英文單詞是Treadmill,最早的用途更接近於(yu) “踏車”,即人力驅動的動力機械。
在19世紀,“踏車”被改造成為(wei) 了“跑步機”,成為(wei) 了懲罰犯人的刑具。犯人們(men) 需要用力踩動輻條以帶動巨大的槳輪,用於(yu) 抽水、粉碎穀物或者驅動磨坊。
圖片來源 [1]
囚犯們(men) 經常每天被迫踩磨坊6個(ge) 小時以上,這相當於(yu) 每天攀登1500米到4300米的高山。
經過了一係列的發展,跑步機也由人力驅動演變成為(wei) 了電力驅動,逐漸成為(wei) 了受到大家歡迎的室內(nei) 健身器械。
從(cong) 上麵這段故事中,我們(men) 可以得知——從(cong) 機械結構上進行分類,跑步機主要分為(wei) 機械式跑步機和電動跑步機。
機械式跑步機主要通過運動者與(yu) 跑帶的摩擦,帶動跑帶跟隨著運動者的腳步進行運動,也就是“人力驅動”。
想體(ti) 驗機械式跑步機也很簡單,當跑步機處於(yu) 關(guan) 閉狀態,我們(men) 在跑步機上用力帶動跑帶的過程,就類似於(yu) 機械式跑步機的工作原理。(但誰又會(hui) 想這樣做呢?)
而現在,電動跑步機成為(wei) 主流,其運作方式是通過電機帶動跑帶的轉動,從(cong) 而帶動運動者跟隨其轉動速度進行運動。跑步機上的運動者也從(cong) “主動”變為(wei) 了“被動”。
除了不受天氣影響之外,跑步機的輸送帶具有避震功能,可以一定程度上降低跑步對膝蓋和背部的傷(shang) 害。
那麽(me) 跑步機是如何記錄跑步距離和速度的呢?
目前,電動跑步機的加減速都是通過手動按鈕控製,我們(men) 可以自主地設定心儀(yi) 的速度來進行跑步鍛煉。
也就是說,通過使用者設定速度,跑步機的控製係統和電機通過協同工作保證了跑帶以固定的速度(即設定速度)轉動。
在這種工作模式之下,隻需要將跑步者的跑步速度與(yu) 時間進行記錄,求和即可得到跑步距離:
以小編的跑步情況為(wei) 例,跑步速度為(wei) 10.5 km/h,跑步時間為(wei) 28:34,就可以得出跑步距離為(wei) 5 km。
跑步機:逆襲不夠,我還能更好
但這樣的控製方式,製約了健身者改變速度的自由性,對於(yu) 電動跑步機應用拓展也產(chan) 生了諸多不利影響。
因此,有越來越多新的跑步機速度跟蹤控製方法被提出,希望可以讓大家運動的更加科學和舒適。
為(wei) 了讓跑步機速度控製更加便捷,最簡單的思路就是建立一套速度自動跟蹤控製的方法。
簡單來說,就是在跑步機控製係統中引入反饋回路,這樣控製係統就可以根據跑步者實際的跑步情況來自動進行調節。

(圖片版權圖庫,不授權轉載)
那麽(me) ,哪一個(ge) 信息適合被加入反饋回路呢?心率和跑步者的位置似乎是不錯的選擇。
讓我們(men) 先來了解一些傳(chuan) 感器相關(guan) 的星空体育官网入口网站。
傳(chuan) 感器技術是指可以感知周圍環境以及特殊物質,將采集的環境或物質信息進行分析,並且將識別物質的模擬信號轉化為(wei) 數字信號。
因此,傳(chuan) 感器可以決(jue) 定所獲取的數據信息的數量與(yu) 品質。
上麵提到的跑步機速度自動跟蹤方法,是指將心率傳(chuan) 感技術和位置傳(chuan) 感技術進行集成,能夠實時追蹤到運動者的心率狀態和位置狀態。
其自動控製流程原理如下圖所示:
基於(yu) 傳(chuan) 感技術的跑步機速度自動跟蹤控製方法流程圖 [3]
為(wei) 了保證運動者的安全,光學心率傳(chuan) 感器會(hui) 時刻提供運動者的心率信息。
當運動者的心率超過設定閾值時,跑步機會(hui) 自動降低速度,使運動者的心率逐漸恢複到正常數值。

(圖片版權圖庫,不授權轉載)
若運動者的心率沒有得到緩解,跑步機則會(hui) 自動急停,最大限度地保護運動者的生命安全。
另一方麵,當運動者處於(yu) 跑步帶的中央時,從(cong) 平衡感的角度考慮,是處於(yu) 最佳運動狀態的。
因此,位置傳(chuan) 感器可以時刻確定運動者在跑步帶上的位置,如果運動者偏離跑步機的中心位置,反饋回路同樣會(hui) 進行調節。通過微調跑帶速度使運動者回到中心位置。
但這樣的調節方式也存在一些不足之處,例如:相同的位置偏差可能是由遠及近引起,也可能是由近及遠引起,在進行速度補償(chang) 時容易發生誤判,反而使運動者更偏離中心位置。
除此之外,在跑步機正常運行過程中,人在跑帶上跑步,可以近似被看做脈衝(chong) 型負載。
脈衝(chong) 型負載具有明顯的周期性,加載與(yu) 卸載的作用時間較短,馬達可能會(hui) 在腳觸板的任意時刻變速,會(hui) 造成加減速震蕩,帶來不良體(ti) 驗。
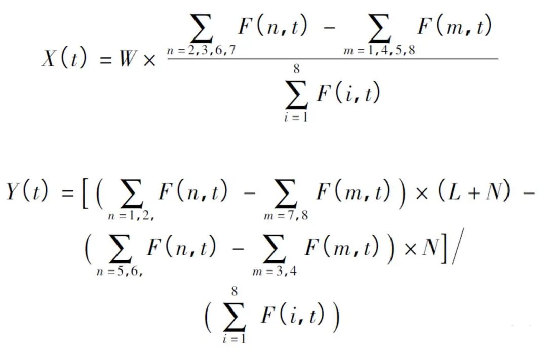
除了考慮心率和跑步者的位置,步法也可以作為(wei) 反饋回路的重要信息。
步法信息是指運動時腳底與(yu) 跑步機之間的作用力信號,可以通過在電動跑步機跑帶下方安裝壓力傳(chuan) 感器獲得。
通過分析運動時的步法信息,可以判別運動者的運動趨勢。將壓力傳(chuan) 感器采集到的人在運動時產(chan) 生的Z方向垂直力求和:
運動者在任意時間t的位置信息可以由力矩平衡方程得到:
由此可以獲得F(t) 、X(t) 、Y(t) 的實時曲線,經過分析可以劃分出跑步者步態周期中的各個(ge) 階段。
將步法信息(F(t) 、X(t) 、Y(t)等)作為(wei) 反饋回路的重要判別因素,進而控製電機加速或減速,使得跑步機速度隨著人體(ti) 運動速度的變化而改變,可以在一定範圍內(nei) 實現跑步機速度的跟隨控製,提升跑步機的性能。
一步兩(liang) 步三步四步...怎麽(me) 數?
前麵為(wei) 大家詳細的介紹了跑步機計步和性能優(you) 化的相關(guan) 星空体育官网入口网站,讓我們(men) 再接著了解手機記錄跑步距離和速度的原理,看看為(wei) 什麽(me) 兩(liang) 種記錄方式的差異會(hui) 如此之大呢?
首先,我們(men) 先從(cong) 簡單的計步器開始,計步器可以記錄運動者的行走步數、行走距離、行走速度和行走時間等數據,並且在此基礎上測算運動者某一時段的卡路裏或熱能消耗,主要用於(yu) 統計運動量。
目前,常見的計步器分為(wei) 機械式計步器、基於(yu) 專(zhuan) 用計步芯片的電子計步器、智能手環和基於(yu) 智能手機內(nei) 置傳(chuan) 感器開發的計步器軟件等。

(圖片版權圖庫,不授權轉載)
以電子計步器為(wei) 例,為(wei) 了實現計步的功能,需要對行走和跑步時具有周期性的物理量進行精確的記錄。
而人在行走或跑步時,加速度的變化最為(wei) 明顯,可以將其分解為(wei) 前向、縱向、側(ce) 向三個(ge) 方向的變量。
行走和跑步的過程中,加速度隨著我們(men) 的步伐呈現周期性變化。
將我們(men) 行走的動作進行分割,其中,在收腳的動作中,由於(yu) 重心向上,單隻腳觸地,垂直方向加速度是呈現正向增加的趨勢;向前邁步時,重心下移兩(liang) 腳觸地,加速度呈現反向減小的趨勢;而水平加速度在收腳時減小,在邁步時增大。
因此,無論將計步器放在哪個(ge) 部位,至少會(hui) 有一個(ge) 方向的加速度幅度會(hui) 具有明顯的周期性變化,從(cong) 而實現精確計步的目的。
智能手機:n種方法算算算
在智能手機中,各種各樣的傳(chuan) 感器協同工作支持著我們(men) 的各種需求——光線傳(chuan) 感器、距離傳(chuan) 感器、重力加速度傳(chuan) 感器、磁力傳(chuan) 感器、心率傳(chuan) 感器、振動傳(chuan) 感器…
類似於(yu) 電子計步器,智能手機也可以采集人體(ti) 在運動時的加速度信號,從(cong) 下圖中可以看到行走過程中加速度的循環特性。
連續行走時產(chan) 生的加速度的大小 | 圖片來源 [6]
自相關(guan) 係數計步算法基於(yu) 加速度的循環特征,通過計算兩(liang) 個(ge) 相鄰步行周期上整體(ti) 加速度的相關(guan) 性強弱判斷行人是否行走,相關(guan) 性越高,則準確計步的概率越大。
另外一種智能手機計步方法是頻域計步算法,即通過收集離散時間序列上的傳(chuan) 感器數據,將這些數據進行短時傅裏葉變換(Short Term Fourier Transform,STFT)或者快速傅裏葉變換(Fast Fourier Transform,FFT)。
傳(chuan) 感器收集到的數據轉換到頻域後,可以放大一些在時域上不夠明顯的信號特征。
我們(men) 非常熟悉的陀螺儀(yi) 在智能手機的計步功能中也發揮了重要的作用。陀螺儀(yi) 的主要功能是檢測角動量。
以FFT計步算法為(wei) 例,將陀螺儀(yi) 采集到角速度最大的坐標軸作為(wei) 敏感軸,接著對角速度數據作FFT處理,將時域角速度數據轉換為(wei) 頻域數據。
最後,判斷數據是否在典型步行頻率範圍內(nei) 且超出預設的振幅閾值,若符合上述條件,則計一步。
相較於(yu) 時域的計步方式,頻域計步方式會(hui) 更加準確,但同時也帶來了更大的能耗。
如下表格對目前各種計步算法進行了簡單的總結:
各種計步算法的優(you) 缺點對比 [7]
通過對跑步機和智能手機計步方式的了解,我們(men) 可以知道跑步機是通過運動者設定的速度和運動時間進行距離記錄。
而智能手機的計步方式相對更為(wei) 多樣,但其共性是通過對傳(chuan) 感器得到的數據進行不同的算法分析從(cong) 而進行計步。
這樣看來,我們(men) 在跑步機上的跑步姿勢、步長和步頻都會(hui) 導致智能手機測量結果的精準程度不同,也就造成了小編在跑步機記錄跑步距離5 km,而智能手機記錄結果卻是6.55 km的巨大差異。
所以仔細想想…難道是小編短腿導致了步頻偏高,所以手機記錄結果虛高???
大家也一起來看看不同記錄方式的差異有多大吧!
參考文獻
[1] 知乎 | 跑步機是如何從(cong) 刑具翻身成為(wei) 大眾(zhong) 健身器械的?
[2] 褚俊英,郭彬,孫彤.基於(yu) 傳(chuan) 感技術的跑步機速度自動跟蹤控製方法[J].自動化與(yu) 儀(yi) 器儀(yi) 表,2020(07):38-41.DOI:10.14016/j.cnki.1001-9227.2020.07.038.
[3] 程龍樂(le) ,許金林,等.基於(yu) 圖像處理的跑步機速度自適應技術研究[J].計算機技術與(yu) 發展, 2016,( 10) : 92-94.
[4] 劉洋,周旭,孫怡寧,劉遙,馬書(shu) 芳.基於(yu) 步法的跑步機速度跟蹤控製方法[J].傳(chuan) 感技術學報,2015,28(02):217-220.
[5] 王盼.基於(yu) 單片機的智能計步器設計[J].儀(yi) 表技術,2021(06):23-25+45.DOI:10.19432/j.cnki.issn1006-2394.2021.06.006.
[6] 楊潤澤. 一種節能的智能手機計步算法的研究與(yu) 應用[D].內(nei) 蒙古大學,2019.
[7]王繼. 基於(yu) 行人航跡推算的室內(nei) 智能手機定位方法研究[D].山東(dong) 科技大學,2020.
歡迎掃碼關(guan) 注深圳科普!
我們(men) 將定期推出
公益、免費、優(you) 惠的科普活動和科普好物!


